Řešená cvičení

Info
Zatím zde nejsou žádné řešené příklady

Testy

-%

Zobecnění energie

Vysoká škola • 3 min

-%

Pojmy -%

Podrobnosti o látce

Celkové hodnocení

100%5 hodnotících

Tvé hodnocení

Pro hodnocení se musíte přihlásit

Autor videa
avatar

zdenek1

Klíčová slova

Vysoká škola

Odhadovaná délka studia

0 h 16 min

Komentáře

avatar

Dominik Chládek 09. 10. 2018 • 10:29

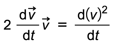
Dobrý den, protože derivace \(v^2\) je \(2v\), tak došlo jednoduše pouze k dosazení :)

Jinak moc děkujeme za pochvalu! :)

avatar

mockaj 08. 10. 2018 • 19:40

Dobrý den, děkuji za hezké video, chtěl bych se zeptat. V čase 3:50 jsme dostali:

Není mi jasné, jak jsme k tomuto přechodu dospěli. Proč jsme mohli jít s tou druhou rychlostí do derivace a kam zmizla dvojka z levé strany rovnice ? 

Děkuji přeji hezký den.

foto

Přihlásit se pro komentář