Řešená cvičení

Proměnná pod odmocninou

Vysoká škola • 4 min

Vypočítejte:

\(\displaystyle \int \dfrac{\sqrt x}{\sqrt x-1}dx\)

Proměnná pod odmocninou

Vysoká škola • 6 min

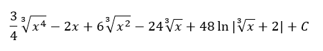
Vypočítejte:

\(\displaystyle \int \dfrac{\sqrt[3]{x^2}}{\sqrt[3]x+2}dx\)

Proměnná pod odmocninou

Vysoká škola • 6 min

Vypočítejte:

\(\displaystyle \int \dfrac{dx}{\sqrt x+\sqrt[3]x}\)

Testy

-%

Integrál s proměnnou pod odmocninou

Střední škola • 4 min

-%

Substituce -%

Vyjádření -%

Substituce -%

Substituce -%

Substituce za mocninu

Vysoká škola • 5 min

-%

Proměnná pod odmocninou -%

Podrobnosti o látce

Celkové hodnocení

100%22 hodnotících

Tvé hodnocení

Pro hodnocení se musíte přihlásit

Autor videa
avatar

Dominik Chládek
Autor matematiky na isibalu :)

Klíčová slova

Vysoká škola

Odhadovaná délka studia

0 h 37 min

Komentáře

avatar

Ondřej 24. 08. 2023 • 14:02

Moc se omlouvám za spam, chtěl jsem poslat jen jeden komentář...

avatar

Ondřej 24. 08. 2023 • 13:59

Dobrý den, mám dotaz k prvnímu příkladu ve videu. V čase 2:08 říkáte, že odmocnina z t na druhou se rovná t, protože mocnina a odmocnina se vyruší, ale já měl za to, že pokud dáme t na druhou a pak je odmocníme, tak dostaneme jeho absolutní hodnotu. Děkuji za objasnění a za skvělá videa!

avatar

Petra upraveno: 14. 03. 2023 • 15:11

Zdravím Vás, jen jsem se chtěla zeptat, zda ve druhém příkladě nemáte chybu. Na začátku máte před integrálem 3 a pak se tam objeví 2 a výsledek už je pak jiný... Děkuji za objasnění :-)

sub comment
avatar

heamorhoid upraveno: 01. 06. 2024 • 19:50

Dobrý den. Jaký je prosím výsledek? Je můj správně?

foto

sub comment
avatar

Dominik Chládek 16. 03. 2023 • 14:26

Dobrý den, ano, je to i v poznámce nad videem že je tam chyba, nezlobte se :)

Přihlásit se pro komentář