Řešená cvičení

Obě metody integrace

Vysoká škola • 11 min

Vypočítejte pomocí substituce a potém pomocí per partes:

\(\displaystyle \int \cos^3x\ln\left(\sin x\right)dx\)

Obě metody integrace

Střední škola • 4 min

Vypočítejte pomocí substituce a poté pomocí per partes:

\(\displaystyle \int \dfrac{\ln x}{x}dx\)

Testy

-%

Kombinace metod

Vysoká škola • 3 min

-%

Kombinace -%

Metody dohromady

Vysoká škola • 20 min

-%

Dva logaritmy -%

Exponenciála a odmocnina -%

Logaritmus a odmocnina -%

Podrobnosti o látce

Výpisky ke stažení
Poznámky Obě metody dohromady
Celkové hodnocení

100%34 hodnotících

Tvé hodnocení

Pro hodnocení se musíte přihlásit

Autor videa
avatar

Dominik Chládek
Autor matematiky na isibalu :)

Klíčová slova

Střední škola

Odhadovaná délka studia

0 h 41 min

Poznámka k videu

V tomto videu si shrneme obě metody per partes a substituce dohromady. Řekneme si na co se musíme soustředit a co si hlídat.

Komentáře

avatar

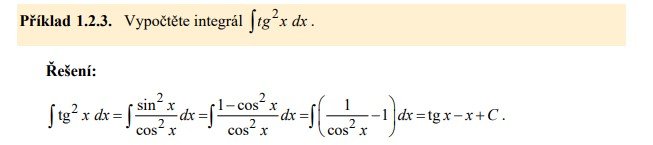
Daniel 10. 03. 2023 • 23:39

Dobrý den, vysvětlil by mi prosím někdo postup u tohoto příkladu ? 

foto

sub comment
avatar

Dominik Chládek 12. 03. 2023 • 10:37

Dobrý den, v čitateli byl využit vzorec pro goniometrické funkce:

\(\sin^2x+\cos^2x=1\\ \sin^2x=1-\cos^2x\)

a pak jenom rozpojeno na dva zlomky a zintegrováno zvlášť přímo podle základních integračních vzorečků :)

avatar

MareK 07. 03. 2021 • 18:19

zdravím takáto úloha by sa ako riesila ? :)

 

integral (Sinx)^4 

sub comment
avatar

Dominik Chládek 08. 03. 2021 • 11:06

Dobrý den, mrkněte na trigonometrickou substituci v tomto tématu :)

Přihlásit se pro komentář