Rychlejší trigonometrické substituce


Následující látka Další

Návaznosti

Řešená cvičení

Trigonometrická substituce

Vysoká škola • 6 min

Vypočítejte:

\(\displaystyle \int\frac{2dx}{\cos x}\)

Trigonometrická substituce

Vysoká škola • 8 min

Vypočítejte:

\(\displaystyle \int\dfrac{\sin x \cos^3x}{\sin^3 x+1}dx\)

Trigonometrická substituce

Vysoká škola • 4 min

Vypočítejte:

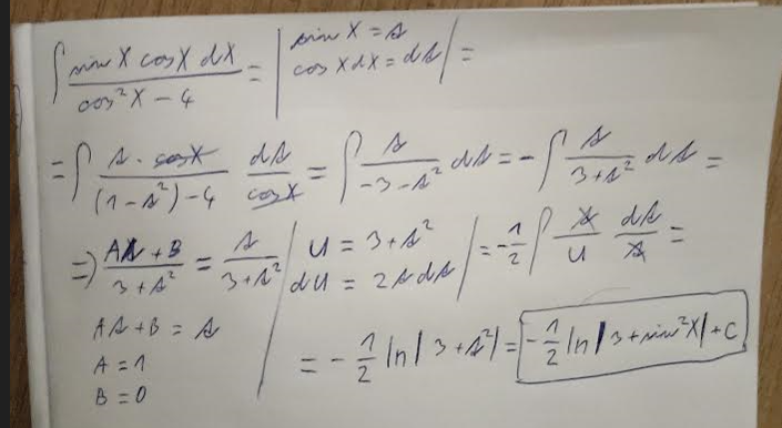
\(\displaystyle \int\dfrac{\sin x \cos x}{\cos^2 x-4}dx\)

Všechny příklady (5)

Testy

-%

Rychlejší trigonometrické substituce

Střední škola • 3 min

-%

Substituce -%

Substituce -%

Substituce -%

Konkrétní výpočet

Vysoká škola • 5 min

-%

Mocniny goniometrických funkcí -%

Podrobnosti o látce

Výpisky ke stažení
Poznámky Rychlejší trigonometrické substituce
Celkové hodnocení

100%16 hodnotících

Tvé hodnocení

Pro hodnocení se musíte přihlásit

Autor videa
avatar

Dominik Chládek
Autor matematiky na isibalu :)

Klíčová slova

Vysoká škola

Odhadovaná délka studia

0 h 59 min

Komentáře

avatar

Jozo 03. 05. 2026 • 19:47

chcem sa spytat, tam v tom 1. priklade v resenych prikladoch sa zintegruje 1/(1-t)dt na ln I1-tI, nema to byt -In I1-tI?

sub comment
avatar

Dominik Chládek 03. 05. 2026 • 20:05

Ano, je to tak, moc díky za opravení, už jsem to tam doplnil! :)

avatar

Jozo 27. 10. 2025 • 11:16

ak sa mozem opytat, preco ked idem v cviceniach v tom tretom priklade tym druhym sposobom cez t=sin(x) tak my vyde -1/2 x In I sin(x)+3 I+c  kdezto ked idem cez cos(x)=t vyde -1/2 x In I sin(x)-4 I+c

samozrejme (sinˇ2(x)+7)=cosˇ2(x) je mimo Df , rad by som vedel de robim chybu

sub comment
avatar

Dominik Chládek 01. 11. 2025 • 00:42

Není za co :)

sub comment
avatar

Jozo 31. 10. 2025 • 12:25

dik moc

sub comment
avatar

Dominik Chládek 31. 10. 2025 • 09:39

Už vím jak to myslíte, tohle je v pořádku, dokud Vám derivace výsledku dá zadání, tak to máte správně :) zejména u goniometrickcých funkcí je spoustu vzorečků jak nahrazovat sinus pomocí kosinu a naopak, takže i když zadání nevypadá na první pohled stejné, tak je :)

sub comment
avatar

Jozo 31. 10. 2025 • 02:10

dik za odpoved

foto

sub comment
avatar

Dominik Chládek 27. 10. 2025 • 16:05

Dobrý den, můžete nahrát výpočty? Buď sem nebo na Discord? :)

avatar

Katarina Sohajda 12. 11. 2023 • 10:06

Dobrý deň,

v druhom riešenom príklade trigoniometrickej substitúcie, ste nezabudli na konci na  číslo -1 ?

foto

sub comment
avatar

Dominik Chládek 12. 11. 2023 • 11:19

V pohode :)

sub comment
avatar

Katarina Sohajda 12. 11. 2023 • 10:08

Aha, až teraz som si všimla Váš komentár. Prepáčte!

avatar

mockaj 18. 04. 2018 • 14:32

Děkuji za super video, pokud by si někdo nechtěl pamatovat vzorce sin(x) a cos(x) pro tu substituci tg(x)=t a odvození mu z nějakého důvodu nešlo, dá se to udělat přes pravoúhlý trojúhelník.Stačí si jen přilehlou zvolit o délce 1 a protilehlou o délce t

foto

Přihlásit se pro komentář