Řešená cvičení

Info
Zatím zde nejsou žádné řešené příklady

Testy

-%

Skládání zobrazení

Střední škola • 2 min

-%

Předpis -%

Dvě zobrazení -%

Složené zobrazení

Vysoká škola • 10 min

-%

Dvě funkce -%

Tři funkce -%

Podrobnosti o látce

Výpisky ke stažení
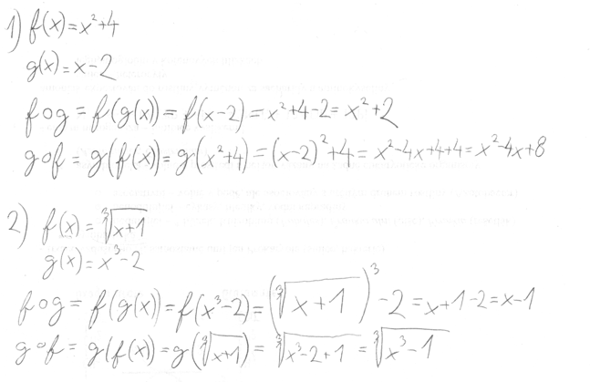
Poznámky Skládání zobrazení
Klíčová slova
Zobrazení Skládání Složené zobrazení Funkce
Celkové hodnocení

100%20 hodnotících

Tvé hodnocení

Pro hodnocení se musíte přihlásit

Autor videa
avatar

Dominik Chládek
Autor matematiky na isibalu :)

Klíčová slova

Střední škola

Odhadovaná délka studia

0 h 25 min

Komentáře

avatar

Ondřej Procházka 09. 06. 2021 • 16:09

Dobrý den, chtěl bych se zeptat, jestli nemáte chybu ve výpiscích v řešení příkladu b). Řekl bych, že u řešní f ◦ g : R → R, (f ◦ g)(x) jste počítal řešení g ◦ f : R → R, (g ◦ f)(x) a u druhého zase naopak.

sub comment
avatar

Dominik Chládek 24. 03. 2025 • 18:52

Naprosto v poradku, at se Vam dari! :)

sub comment
avatar

Jan Míka upraveno: 19. 03. 2025 • 18:57

Dobrý den. Přeci jen nemá to být naopak v těch výpiskách? Zkusil jsem ty příklady podle návodu, který jste použil ve videu a dává mi to takovéto výsledky: 

Děkuji Vám.  

EDIT: Já jsem tele. Už vím, kde jsem dělal chyby :D Omlouvám se za nedorozumění. 

foto

sub comment
avatar

Dominik Chládek 09. 06. 2021 • 22:15

Dobrý den, moc děkuji za opravu, byla tam chyba, už by to mělo být v pořádku :) nezlobte se!

avatar

Roman 26. 07. 2020 • 15:04

Super video, akorát na začátku říkáte, že se jedná o látku VŠ a obtížnost je nastavená na SŠ.

sub comment
avatar

Dominik Chládek 27. 07. 2020 • 15:42

Rozumím, moc díky za upozornění! :)

sub comment
avatar

Roman 27. 07. 2020 • 11:58

Souhlasím, jen jsem si nebyl jistý, zda jste ho nechtěl původně označit jako VŠ. :)

sub comment
avatar

Dominik Chládek 26. 07. 2020 • 18:55

Moc díky! :) no VŠ je to kvůli tomu, že se to na střední většinou nebere, ale přijde mi to obtížností pochopopitelné i pro SŠ, nebo nesouhlasíte? :/

Přihlásit se pro komentář