Řešená cvičení

Info
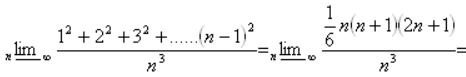
Zatím zde nejsou žádné řešené příklady

Testy

-%

Složitější limity

Střední škola • 2 min

-%

Limita -%

Podrobnosti o látce

Celkové hodnocení

99%22 hodnotících

Tvé hodnocení

Pro hodnocení se musíte přihlásit

Autor videa
avatar

Dominik Chládek
Autor matematiky na isibalu :)

Klíčová slova

Vysoká škola

Odhadovaná délka studia

0 h 11 min

Komentáře

avatar

MartinSurovec 06. 12. 2020 • 01:10

Dobry den, mám problém s touto limitou viete mi nejako pomôcť ?

foto

sub comment
avatar

Dominik Chládek upraveno: 06. 12. 2020 • 23:23

Dobrý den, ta první část jde na Eulerovo číslo a ta druhá k nule, tedy bude to ohraničená krát nula tedy nula, jestli se nepletu :)

avatar

Klaus.Mikaelson 15. 04. 2020 • 13:02

Zdravím, rád bych se zeptal, jak se k tomu došlo u tohoto příkladu. Děkuji.

foto

sub comment
avatar

Dominik Chládek 17. 04. 2020 • 23:04

Dobrý den, to už je trochu komplikovanější suma, podívejte se na částečné součty a to by mohlo pomoci :)

avatar

Dominik Chládek 31. 10. 2017 • 08:40

Nene, omezená funkce * nekonečno může být cokoli, tohle pravidlo radši nepoužívejte :)

avatar

honzikpo 30. 10. 2017 • 22:53

A kdyz je to omezena * nekonecno tak nekonecno? 

Přihlásit se pro komentář