Řešená cvičení

Exponenciální rovnice

Střední škola • 1 min

Vyřešte v oboru reálných čísel \(\mathbb{R}\) exponenciální rovnici:

\(3^{x-2}=\sqrt{27}\)

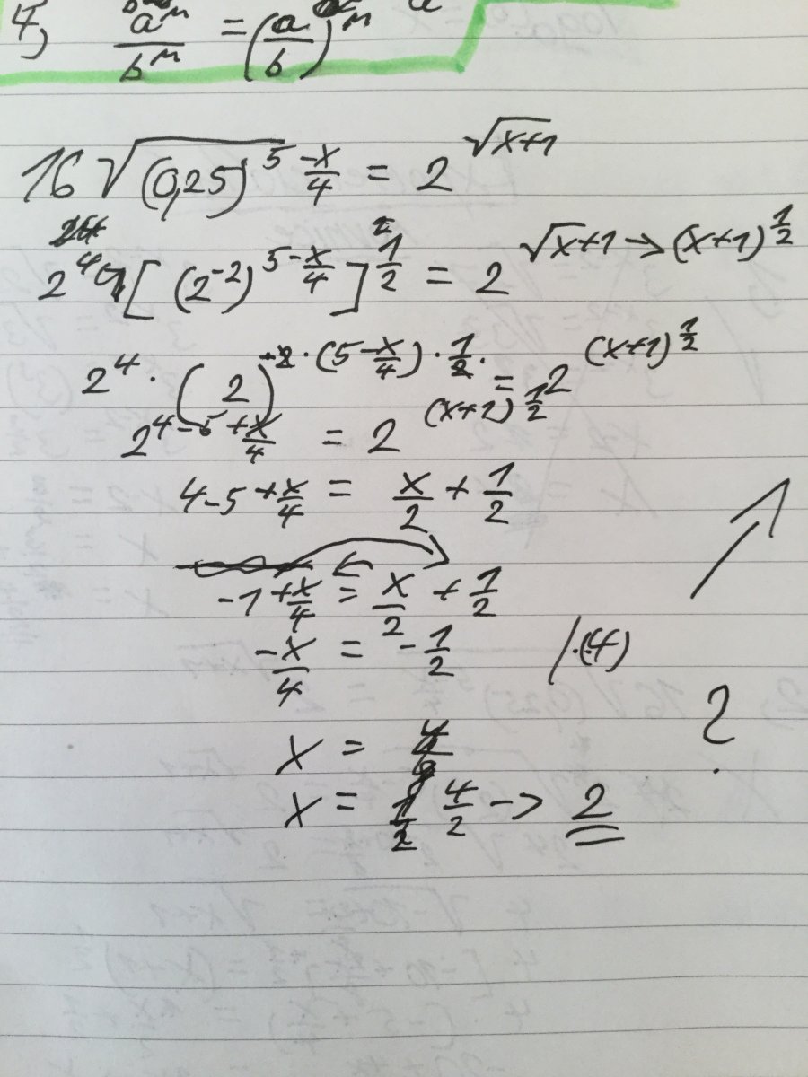
Exponenciální rovnice

Střední škola • 6 min

Vyřešte v oboru reálných čísel \(\mathbb{R}\) exponenciální rovnici:

\(16 \cdot \sqrt{(0,25)^{5-\frac x4}}=2^{\sqrt{x+1}}\)

Exponenciální rovnice

Střední škola • 2 min

Vyřešte v oboru reálných čísel \(\mathbb{R}\) exponenciální rovnici:

\(\sqrt[4]{4^x} \cdot \sqrt[3]{2^{x-3}}=\sqrt[6]{16}\)

Všechny příklady (7)

Testy

-%

Exponenciální rovnice

Střední škola • 4 min

-%

Postup -%

Postup -%

Řešení rovnice -%

Podrobnosti o látce

Výpisky ke stažení
Poznámky Exponenciální rovnice
Celkové hodnocení

98%30 hodnotících

Tvé hodnocení

Pro hodnocení se musíte přihlásit

Autor videa
avatar

Dominik Chládek
Autor matematiky na isibalu :)

Klíčová slova

Střední škola

Odhadovaná délka studia

0 h 47 min

Komentáře

avatar

j. 19. 01. 2021 • 21:01

Veľmi Vám ďakujem za pomoc, môžete si na konto pripísať dalšiu 1 ku ;)

 

sub comment
avatar

Dominik Chládek 20. 01. 2021 • 22:27

To jsem moc rád, děkuji za pochvalu a gratuluji!! :)

avatar

Nikita Dotlačil 18. 08. 2020 • 17:48

Dobry den mam dotaz k druhemu prikladu v sekci priklady ktery zacina 16* zkousel jsem si to vypocitat sam a vysel mi jiny vysledek ale odchylil jsem se od vaseho postupu jen v jednom bode a to ve chvili kdy jsem vzal odmocninu z (x+1) na prave strane a prepsal to jako vyraz ^1/2. Vy jste toto ve videu neudelal, chci se zeptat jestli je tento postup nemozny a nebo jsem pocital spatne. Dekuji Dotlacil

sub comment
avatar

Dominik Chládek 19. 08. 2020 • 13:28

Vaše chyba je, že jste použil rovnost:

\((x+1)^\frac12=\dfrac x2+\dfrac 12\)

a to neplatí, umocnění není to stejně jako vynásobení :)

sub comment
avatar

Nikita Dotlačil 19. 08. 2020 • 11:21

Prikladam fotku

foto

sub comment
avatar

Dominik Chládek 18. 08. 2020 • 22:47

Dobrý den,

pokud chcete volit tuhle cestu, tak jediná šance jak tohle přepsat je:

\(2^{(x+1)^\frac12}\)

a jestli máte tohle, tak to pak už lépe neupravíte, ale musel bych vidět výpočty, tak třeba nahrejte fotku na ukázku a já Vám řeknu jestli a kde je chyba :)

avatar

Daniel Drobek 02. 02. 2020 • 15:52

U druhého příkladu (začinající 16*odmocnina z ...) v čase 3:58 nebylo zvoleno špatně známénko u 2ab, kde b je -1 a zapsal si ho jako kladné? Děkuji

sub comment
avatar

Dominik Chládek 02. 02. 2020 • 23:47

Moc děkuji! :)

sub comment
avatar

Daniel Drobek 02. 02. 2020 • 22:52

Už si uvědomuji chybu, omlouvám se. Odvádíš skvělou práci. Díky!

sub comment
avatar

Dominik Chládek 02. 02. 2020 • 18:18

Dobrý den, proč přesně myslíte? :)

avatar

Dominik Chládek 28. 09. 2017 • 18:45

Super :)

avatar

erorrek 28. 09. 2017 • 13:38

Děkuju, už to asi chápu, to s tím t mi pomohlo) 

avatar

Dominik Chládek 28. 09. 2017 • 11:41

Dobrý den, zkuste to udělat tak, že si napíšete místo výrazu \(2^x\) třeba \(t\) nebo něco takového :) pak se Vám to třeba lépe uvidí? Protože jinak moc nerozumím...

avatar

erorrek 28. 09. 2017 • 03:53

Zdravím, trochu nerozumím vytýkání toho 2^x kolem 20:45, pochopil bych kdyby neznámá nebyla v mocnině pak 2x+2*2x = 2x+4x a když chci vytknout 2x(1+2) = 2x * 3. Ale pokud mám mocninu tak to nemůžu udělat tak že 2^x + 2^x * 2 = 2^x + 4^x takže něak nevím jak na to .. 

Přihlásit se pro komentář