Řešená cvičení

Taylorův polynom funkce

Vysoká škola • 7 min

Určete Taylorův polynom 3. stupně pro funkci \(f(x)\) v bodě \(x_0=1\):

\(f(x)= \sqrt[5]{x^3}\)

Taylorův polynom funkce

Vysoká škola • 5 min

Určete Taylorův polynom 3. stupně pro funkci \(f(x)\) v bodě \(x_0=1\):

\(f(x)= \dfrac1x\)

Taylorův polynom funkce

Vysoká škola • 7 min

Určete Taylorův polynom 2. stupně pro funkci \(f(x)\) v bodě \(x_0=1\):

\(f(x)=x^x\)

Všechny příklady (10)

Testy

-%

Taylorův polynom

Střední škola • 4 min

-%

První člen -%

Druhý člen -%

Třetí člen -%

Čtvrtý člen -%

Taylorův polynom

Vysoká škola • 20 min

-%

Proměnná a logaritmus -%

Odmocnina -%

Podrobnosti o látce

Výpisky ke stažení
Poznámky Taylorův polynom
Celkové hodnocení

100%26 hodnotících

Tvé hodnocení

Pro hodnocení se musíte přihlásit

Autor videa
avatar

Dominik Chládek
Autor matematiky na isibalu :)

Klíčová slova

Vysoká škola

Odhadovaná délka studia

2 h 29 min

Komentáře

avatar

cermak-martin 27. 08. 2024 • 13:06

Dobrý den!

Na konci videa se má zjistit přibližná hodnota pro odmocninu z pěti, ale do vzorce je zadáváná pětka. Proč?

Jinak naprosto super!

sub comment
avatar

Dominik Chládek 10. 10. 2024 • 15:13

Dobrý den,

dosazujeme úpětku, jelikož to je hodnota, ve které chceme vyhodnotit původní zadanou funkci :)

Nezlobte se za zpoždění s odpovědí, měli jsme chybku na webu a nechodilo nám upozornění na nové komentáře, tak to doháním teď, omlouvám se! :)

avatar

Ivet upraveno: 02. 06. 2022 • 11:14

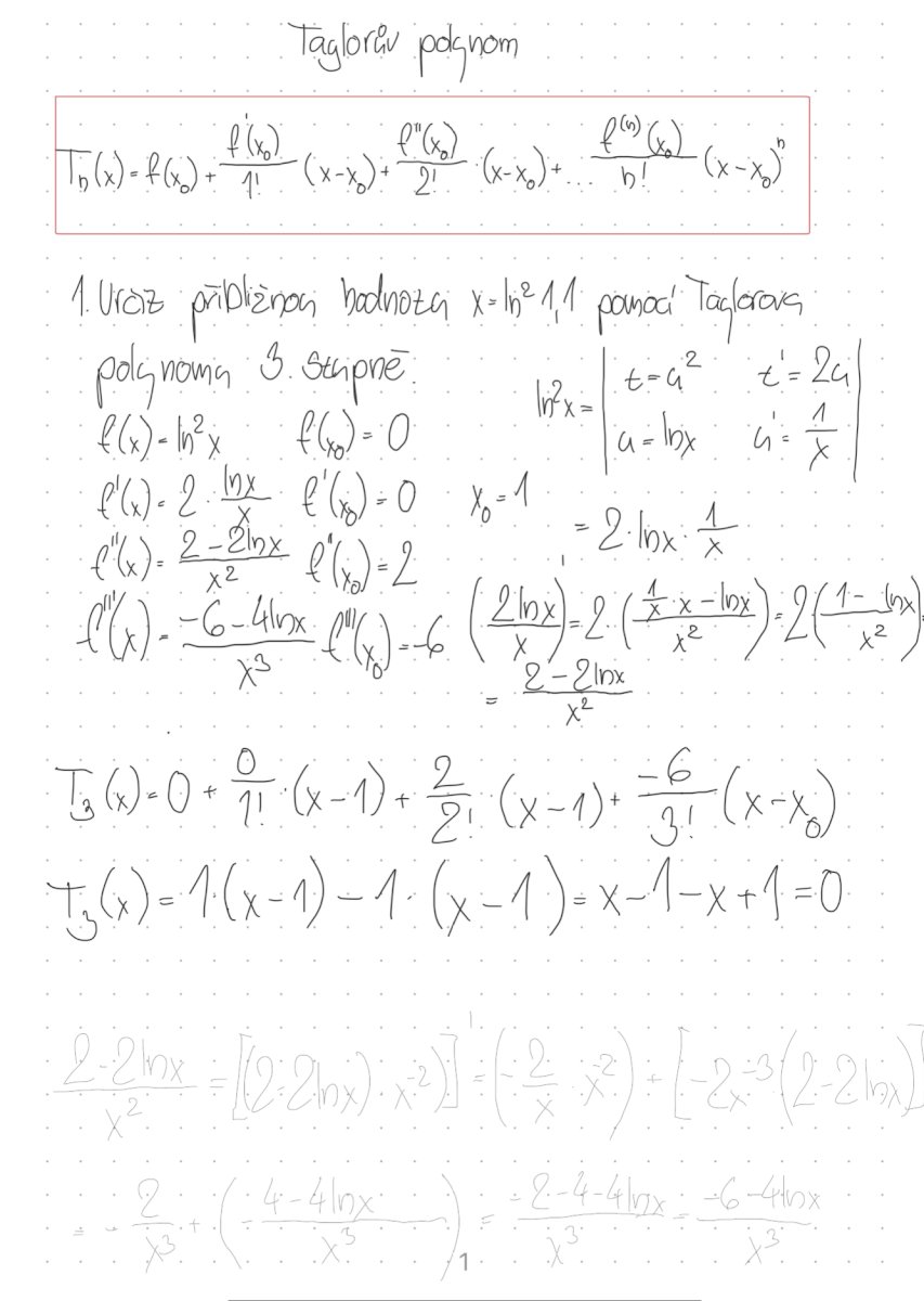
Dobrý den, mohla bych se zeptat, jaký by byl postup v případě zadaní např. Určete přibližnou hodnotu \(x = ln^2 1,1\) pomocí Taylorova polynomu 3.stupně?

sub comment
avatar

Dominik Chládek 05. 06. 2022 • 21:45

No jakmile umocníte závorky tak pak už jen stačí dosadit za \(x=1,1\) a zjistíte přibližnou hodnotu :)

sub comment
avatar

Ivet upraveno: 04. 06. 2022 • 00:24

EDIT: našla jsem, že nemám umocněné závorky, ale stejně je to nějaké zvláštní.

Dobrý den, chápu. Mohl byste se, prosím, podívat, kde dělám chybu? Zřejmě mi pořád něco uniká.

foto

sub comment
avatar

Dominik Chládek 02. 06. 2022 • 23:27

Dobrý den,

funkce bude \(f(x) = \ln ^2x\) a bod bude \(x_0=1\) a budete počítat jako ve videu :)

avatar

Jindřich Sláma 16. 06. 2019 • 12:31

Čas 23:55

Můžu se zeptat, proč k T2 není přičten i T0?

(1)+(1-x)+(\(x^2\) ) = 2 - x + \(x^2\)

sub comment
avatar

Dominik Chládek 16. 06. 2019 • 23:45

Ano, velmi dobře, přesně tak! :)

sub comment
avatar

Jindřich Sláma upraveno: 16. 06. 2019 • 13:29

Aha, chápu to tedy správně, že to nejde kvůli tomu, že je již v T1 zahrnutý výsledek z T0 a tím pádem bych k T2 chybně připočetl T0 dvakrát?

sub comment
avatar

Dominik Chládek 16. 06. 2019 • 13:11

Dobrý den, to byste sčítal polynomy dohromady, ne dané členy, to by nesedělo jako výsledek :) vy jen chcete přičítat další a další člen :)

avatar

Dominik Chládek 04. 01. 2016 • 02:07

Dobrý den,

děkuji za upozornění, už jsem to opravil (musíte si vymazat cache) :) jinak jsem moc rád že se Vám videa líbí, děkuji mnohokrát! Ale rád bych upozornil že toto je pouze špička ledovce, velká většina těch nádherných věcí Vám zůstává skryta...ale tímto webe se budu snažit odkrýt co nejvíce, jelikož jak sám říkáte, matematika je doopravdy krásná :)

avatar

Medvidek_CZE 04. 01. 2016 • 00:21

Dobrý den, chtěl bych upozornit na drobný překlep ve výpiscích k tomuto videu. Hned v prvním členu Taylora máte \(Tn(x)= f(x2) + f.... \)  Ale samozřejmě je tím snad myšleno  \(Tn(x)= f(x0) + f.... \) Tak snad aby se tím nikdo zbytečně dlouho nezdržoval ;) Ale jinak děkuji za úžasná videa. Matematika je opravdu krásná :) 

Spokojený divák David 

Přihlásit se pro komentář